Home Start Back Next End
  
46
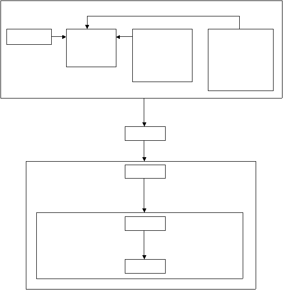
Sumber Data
Pengguna
Persyaratan
Khusus
Pengguna
Formulir /
Laporan yang
digunakan atau
dihasilkan oleh
perusahaan
Sumber yang
menjelaskan
perusahaan,
seperti kamus
data dan model
data perusahaan
Memindahkan semua atribut
ke dalam bentuk tabel
Menghapus semua
group perulangan
UNF
1NF
Menghapus
ketergantungan parsial
2NF
Menghapus
ketergantungan transitif
3NF
Gambar 2.8
Ilustrasi Diagram Dari Proses Normalisasi
Sumber : Connolly dan Begg ( 2005, p402 )
Word to PDF Converter | Word to HTML Converter