Home Start Back Next End
  
58
Laporan Penerimaan
Sehari-hari
Direktur
Pesanan
Membuat
Pesanan
Laporan
Sehari-hari
Laporan Penerimaan
Sehari - hari
Bagian
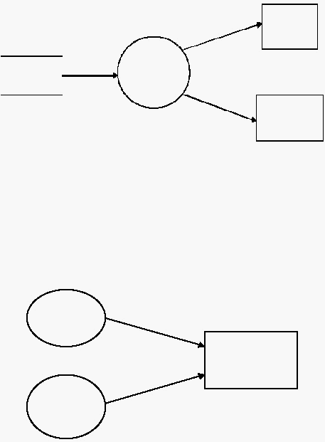
Gambar 2.23 Konsep alur data menyebar
3.   Konsep Alur Data Mengumpul (Converging Data Flow)
Beberapa  alur  data  yang  berbeda  sumber  bergabung  bersama-
sama menuju ke tujuan yang sama.
Membuat
Faktur
Siswa
Membuat
Slip
Pengiriman
Gambar 2.24 Konsep alur data mengumpul
4.   Konsep Sumber atau Tujuan Alur Data
Semua alur data harus minimal mengandung satu proses. Maksud
kalimat ini adalah :
Suatu alur data dihasilkan dari suatu proses dan menuju ke
suatu data store dan/atau terminator (lihat gambar 6 (a)).
Word to PDF Converter | Word to HTML Converter