Start Back Next End
  
24
7.
Frame
Frame merupakan simbol yang digunakan untuk
menandakan area yang mengalami perulangan, seleksi,
atau ketentuan.
2.1.3.4
Activity Diagram
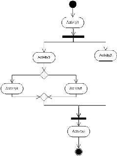
Activity diagram
merupakan gambaran mengenai alur
sebuah proses bisnis, langkah dalam sebuah use case,
dan
logika sebuah tindakan objek (Whitten & Bentley, 2007).
Gambar 2.10 Contoh Activity Diagram
Elemen-elemen pada activity diagram:
1.
Initial node
Initial node
merupakan simbol yang merepresentasikan
mulainya 
Word to PDF Converter | Word to HTML Converter