Home Start Back Next End
  
28
S
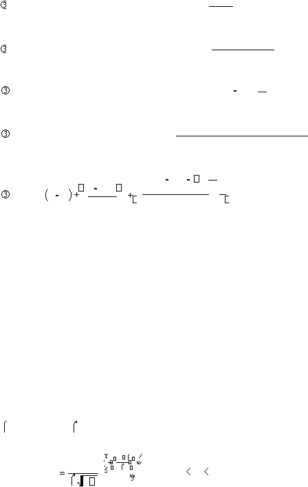
EOQ
Frekuensi pesan dalam 1 tahun (m)
=
Hari kerja/thn
m
Interval pemesanan (t)
=
e
S
Tingkat persediaan maksimal
=
EOQ
1
-
Q
Rata-rata tingkat persediaan
=
Tingkat
persediaan maksimal
2
S
EOQ
Cc
1
-
S
Co
 
Q
TC =
S
P
EOQ
2
2.1.2
Fungsi Distribusi dan Pengujian Distribusi Dengan SPSS
Jenis  distribusi  yang  digunakan  adalah  distribusi  variabel  kontinu.
Jenis
ini
yang
umum
digunakan
adalah distribusi
normal
dan
Kolmogorov
Smirnov.
2.1.2.1 Fungsi Distribusi Normal (Barnes, 1994, p65-68)
Suatu
variabel acak
X
dikatakan berdistribusi
normal dengan rata-rata
dan variansi
2
, jika probability function (pdf) nya adalah :
1
x
2
  
  
f
(
x)
1
2
  
2
  
x
Word to PDF Converter | Word to HTML Converter