Home Start Back Next End
  
43
Berikut
ini
adalah
notasi
Entity
Relationship
Modelling
menurut
Connolly dan Begg (2005, p 346) :
Entity
Name
A
B
Relate
Relationship
Name
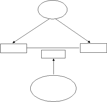
Gambar 2.6 Notasi Entity Relationship Modelling
Pengertian Multiplicity adalah
sejumlah
kemungkinan
kejadian-
kejadian
dari
sebuah
tipe
entiti
di
dalam sebuah
hubungan
n-nary
ketika
nilai-nilai
yang
lain
(n-1)
ditentukan.
Multiplicity
biasanya
terdiri
dari
dua batasan terpisah, yaitu :
1.   Cardinality
Hal
ini
mendeskripsikan
jumlah
maksimum dari
kemungkinan
kejadian-kejadian yang saling berhubungan untuk sebuah partisipasi
entiti dalam proses penentuan tipe relationship.
2.   Participations
Word to PDF Converter | Word to HTML Converter