Home Start Back Next End
  
23
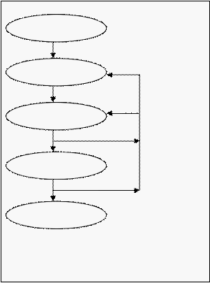
Define Problem
Build model
Execute Simulation
Validation
Analyse Result
Make Decision
Gambar 2.1 Modeling and Simulation Cycle.
(Chang, Xinjie; Network Technology Research Center School of EEE Nanyang Technological University
SINGAPORE 639798)
4.
Automatic simulation generation
OPNET Modeler model dapat dikompilasi menggunakan kode.
Dengan
melakukan ekseskusi
maka akan tampak output data dari
kode yang telah dibuat. Urutannya adalah:
a.     
Running Simulations
i.
Simulation Tool - define and run simulation
ii.
Debugging Tool - interact with running simulations
b.     
Analyzing Results
i.
Probe Editor –data need to be collected
ii.
Analysis Tool – statistical results
Word to PDF Converter | Word to HTML Converter