Home Start Back Next End
  
55
Problem
Domain
Analysis
Requirements
for use
Application
Domain
Analysis
Model
Component  Design
Specifications  of
architecture
Specifications  of
component
Architectural
Design
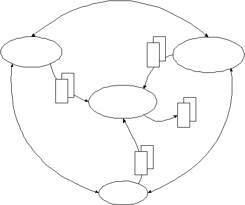
Gambar 2.1
Aktivitas Utama OOA&D dan Hasil-hasilny a
Sumber : M athieassen et al. (2000, p .15)
2.6.1
Problem-Domain Analysis
M
enurut  M athiassen  et 
al. 
(2000,  p .45),  problem-domain analysis
adalah
Bagian
dar i sebuah konteks y ang diatur, dimonitor, atau dik endalikan
oleh
sebuah
sistem.
Tujuan
dari
aktivitas
ini
adalah
untuk
men gid entifikasi
dan
memban gun  sebuah 
model
y
ang
d
ap at 
digunak an
oleh
p
engemban g
sistem 
untuk
merancan g  dan 
men gimp lementasikan  sebuah 
sistem 
y
ang
dap at 
memp roses, 
mengkomunikasik an,  dan 
meny ajikan 
informasi  y ang
bergun a
men genai
problem-domain.
Prinsip
dari
problem-domain
analysis
y
aitu:
Word to PDF Converter | Word to HTML Converter