Home Start Back Next End
  
67
Automatic Payment Syst em
Payment
Cash
W
ithdrawal
Acco unt Owner
Money
Transf er
Creditor
Account
Infor mation
Liquidity Monitor
Credit
Infor mation
Registration
Administrator
Monitor ing
Err or
Corr ection
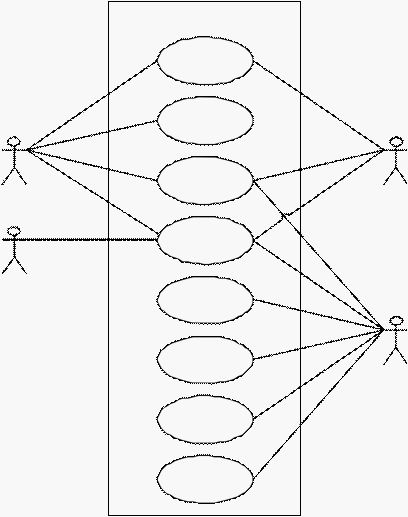
Gambar 2.10   Use Case Diagram untuk Kasus Automatic Payment System
Sumber : M athiassen et al. (2000, p .122)
M
enurut
M
athiassen
et
al.
(2000,
p
.124),
untuk
mengidentifikasik an
actor adalah d en gan
menentukan b agian dan tugas d ari b agian
ap a saja y ang
berhubungan  atau 
terlib at 
den gan  konteks 
sistem 
y
ang
dituju.  M asing-
masin g  
actor    memiliki 
p
eranan   
y
ang  
b
erbeda-bed a.  
Actor    dap at
digambark an
dalam
a
ctor  specifica tion  y ang
memilik i
tiga
bagian,
y
aitu
tujuan,
karakteristik,
dan
contoh.
Tujuan
menunjukk an
p
eranan
dar i
actor
Word to PDF Converter | Word to HTML Converter