Home Start Back Next End
  
25
5) 
Pemulusan eksponensial tripel
: metode kuadratik satu parameter dari brown
Pendekatan
dasar
pemulusan
kuadratik
adalah
memasukkan
tingkat
pemulusan
tambahan
(pemulusan
tripel)
dan
memberlakukan
persamaan
peramalan
kuadratik.
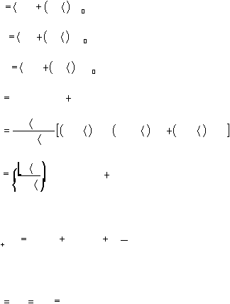
Persamaan untuk pemulusan kuadratik adalah :
S
'
.X
1
S
'
t
1
'
'
.S '
t
1
'
'
t
1
S  
'
'
.S '
'
t
1
S   '
'  '
' '
t
1
(pemulusan pertama)
(pemulusan kedua)
(pemulusan ketiga)
a
t  
3.S '
t
3.S '
'
t
S   '
'  '
' '
t
b
t  
2(1
)
2
6
5
S
'
t
10
8
S  '
' '
t
4
3
S   '
'  '
t
 
c
t
2
  
(S '
t
2.S  '
' '
t
S   '
'  '
)
dan
1
F
a
b
m
1
c
m
2
t
m
t
t
t
dengan inisialisasi :
S 1
'1
S '
'1
S  
'
'1
x1
Word to PDF Converter | Word to HTML Converter