Home Start Back Next End
  
116
wkt_inisial
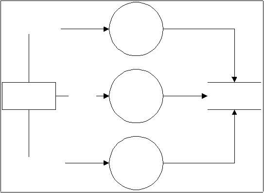
4.1 *
Inisialisasi
Counter
Komersil
counter
4.2 *
Ubah Counter
Jadwal
Maintenance
inisial_hapus
4.3 *
Hapus
Inisialisasi
Gambar 5.6 Diagram Rinci 4.0 (Level 2)
Word to PDF Converter | Word to HTML Converter