Home Start Back Next End
  
119
Komersil
PT ANI
jdwl_geser
pswt_rusak
delay
7.1 *
Kondisi Tak
Terjadwal
ahead
ubah_jadwal
7.2 *
Jadwal
Terlambat
7.3
Perubahan
Jadwal
7.4 *
Jadwal Maju
Jadwal
Maintenance
Jadwal
Terbang
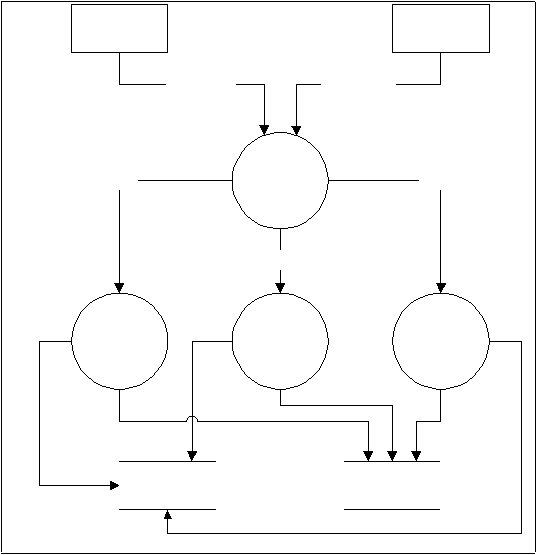
Gambar 5.9 Diagram Rinci 7.0 (Level 2)
Word to PDF Converter | Word to HTML Converter