Home Start Back Next End
  
56
Keputusan
mengenai
cara
membagi
produk
menjadi
chunk
dan
tentang
berapa
banyak
modularitas
akan
diterapkan
pada
arsitektur
sangat
terkait
dengan
beberapa
isu
yang
menyangkut kepentingan seluruh
perusahaan
seperti
:
perubahan
produk,
variasi produk,
standarisasi komponen,
kinerja produk, kemampuan
manufaktur,
dan
manajemen pengembangan produk.
Langkah-langkah dalam menetapkan arsitektur produk adalah dengan (Ulrich dan
Eppinger, 2001: 180):
o
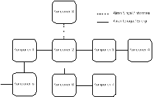
Langkah 1 : Membuat Skema Produk
Sumber: Perancangan dan Pengembagan Produk (Ulrich dan Eppinger, 2001: 181)
Gambar 2.11 Contoh Skema Produk
Sebuah
produk
dianggap
terdiri
dari
elemen
fungsional
dan
fisik. Elemen
fungsional
dari
produk terdiri
atas
operasi
dan transformasi
yang
menyumbang
terhadap
kinerja
keseluruhan produk.
Elemen-elemen
fisik
dari
suatu
produk
adalah
bagian-bagian produk
(part),
komponen,
dan
sub
rakitan
yang
pada
akhirnya
diimplementasikan terhadap
fungsi produk. Arsitektur produk adalah skema elemen-
Word to PDF Converter | Word to HTML Converter