Home Start Back Next End
  
15
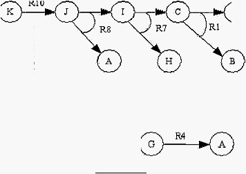
R8: if I and
A
then
J
R9: ifG then
J
RIO:
I
fJ h
'   
en K
untuk  meq1buktikan  apakah 
K
bemilai 
benar,
proses  pencarian
dengan 
menggunakan
backward
chaining
terlihat  pada
gambar  berikut  :
Fakta
A
T
idak  diketahui
Contoh  Bachvarcl Chaining gagal
RlO 
R9
l----..i
J
Fakta
Contoh  Bad'1.varcl Chaining berhasil
Gambar  2.5
Contoh  Backward  chaining
Contoh
penyelesaian masalah dengan  forward  dan
backward chaining:
Diketahui  suatu
sistem
pakar
dengan  aturan-aturan sebagai  berikut:
Rl: IF suku
bunga
turun
THEN  harga
obligasi 
naik
R2:
IF suku
bunga
naik
THEN  harga
obligasi  turun
R3: IF suku
bunga
tidak  berubah  THEN  harga
obligasi  tidak
berubah
R4:
IF
dolar
naik
THEN  suku
bunga
turun
RS: IF
dolar
turun
THEN  suku
bunga
naik
Word to PDF Converter | Word to HTML Converter