Home Start Back Next End
  
C
O
N
S
U
M
E
R
S
Wholesaler
(Pasar Pisang
Street vendor
Processing (price
sensitive buyers)
Independ
ent high
quality
bayer
Chain Store
supplier
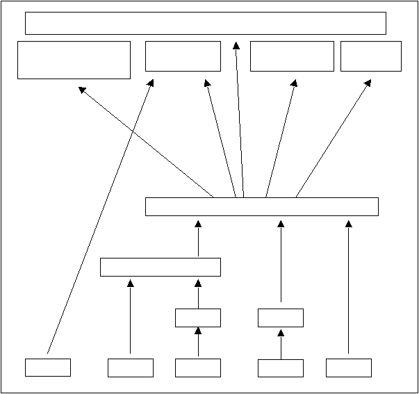
PEDAGANG PENGUMPUL BESAR
Pedagang pengumpul
Pencari
Pencari
PETANI
PETANI
PETANI
PETANI
PETANI
Gambar 2.2. Aliran Produk
Sumber : Direktorat Tanaman Buah. Ditjen. BPH. Deptan.
-
Pedagang Pasar Induk, kedai buah, pengecer toko, asongan, gerai/ toko
buah, supermarket, hypermarket, processing, dan supplier : melakukan
pembayaran kepada pedagang pengumpul besar.
-
Pedagang pengumpul besar
:
melakukan pembayaran kepada pedagang
pengumpul kecil, pencari atau petani.
Word to PDF Converter | Word to HTML Converter