Home Start Back Next End
  
60
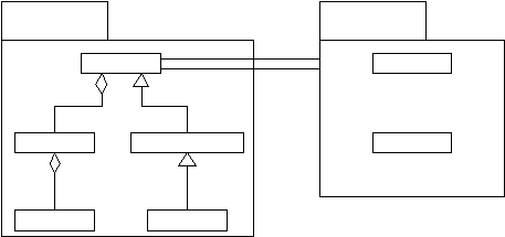
<<cluster>>
Cars
<<cluster>>
People
Car
Owner
Engine 
Passenger
Car
Clerk
Cylinder 
Taxi
Gambar 2.4
Cluster Structure
Sumber : M athiassen et al. (2000, p .75)
2.
Object Structures
Object structures
men ggambarkan
hubun gan
y
ang d inamis dan konkrit
antara 
objek-objek 
dalam  problem-domain
Object 
structures
dideskrip sikan dalam
class
diagram
sep erti
hubungan
struktural antara
dua
classes
atau
lebih.
Structures
tersebut
dideskrip sikan
p
ada
tingkat
class, dengan
ditambahk an p rop erti multiplicity y ang mensp esifikasikan
jumlah
ob jects
dari
classes
y
ang
berhubun gan.
Hubungan
ini
berub ah
secara d inamis
tanp a
memp engaruhi p erubahan
p
ada class
description.
Object structures terdiri d ari dua b agian, y aitu:
a.    Aggregation
Aggregation  structure
ad alah
suatu
hubungan
antara
dua
objects
atau
lebih.
Aggregation
meny atakan bahwa
sebuah
superior
ob ject
(the whole”)
terdiri
atas
beber ap a bagian
dar i in ferior
object
(th e
part”). 
Notasi 
aggregation 
digamb arkan 
seb agai  
garis   antara
classes  y ang
berp eran
sebagai
whole
dan
part”,
dimana
garis
Word to PDF Converter | Word to HTML Converter