Home Start Back Next End
  
75
adalah   
menentukan    criteria   dan   
member ikan    p rioritas,    kemudian
menjembatani 
criteria   den gan
platform   teknis.
Terakhir 
men gevaluasi
rancan gan
leb ih awal.
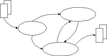
Hasil dar i aktivitas architecture design adalah struktur
untuk komp onen dan p roses sistem
Analysis
document
Component
Architecture
Criteria
Process
Architecture
Architectural
specification
Gambar 2.11 
Architectural Design
Sumber : M athiassen et al. (2000, p .176)
2.6.3.1
Criteria
M
enurut  M athiassen  et 
al.  (2000,  p .177-178),  tujuan  dari  sebuah
criteria  ad alah
untuk 
men etap kan  p rioritas  suatu
p
erancangan.  Prior itas
tersebut 
dap at 
dilihat 
dari 
derajat 
p
enting  atau 
tidakny a 
suatu  kriteria
rancan gan 
sistem
harus 
dip enuhi,
d
an
p
rioritas 
ini
berb eda
untuk
setiap
sistem
karena
disesuaikan
den gan
kebutuhan
organisasi.
Ada
dua
konsep
utama dalam criteria, y aitu:
1.
Criteria
M
enentukan p rop erti y ang diin gink an dari sebu ah arsitektur.
2.
Condition
Hal-hal
y
ang b ersifat
teknis,
organ isasional,
p
eluan g d an
keterbatasan
manusia y ang muncul k etika sistem melakukan p ekerjaan.
Word to PDF Converter | Word to HTML Converter