Home Start Back Next End
  
59
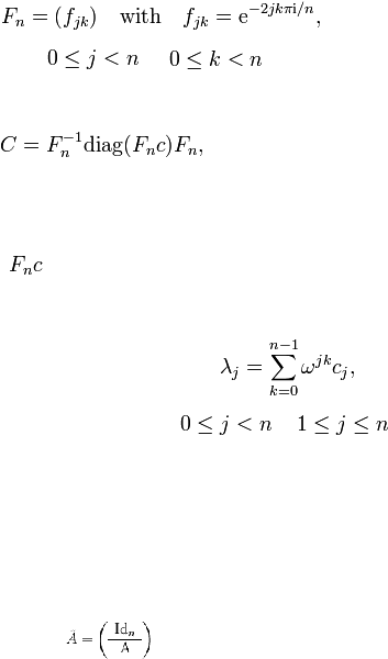
Eigen
vectors
dari
matriks
circulant
yang
diberikan
ukuran
adalah
kolom
dari
matriks
transformasi
Fourier
diskrit
dengan
ukuran
yang
sama.
Yang
terakhir
matriks
didefinisikan oleh :
for
and
. Di mana, Matriks F
n
diagonal C.
Bahkan, ada
di
mana
c
,
adalah
kolom
pertama
C
.
Dengan
demikian,
nilai
eigen
C
diberikan oleh
produk  
.  Produk 
ini  dapat  dengan  mudah  dihitung  dengan  Transformasi  Fast
Fourier. Yang lebih langsung formula untuk nilai eigen adalah:
Untuk 
(or
)
di
mana
?
adalah
akar
primitif
n'th
kesatuan,
misalnya ?
=
e2pi
/
n.
Perawatan harus
diambil bila
mentransfer
formula
ini
ke
salah
satu
pengindeksan berbasis atas
koefisien
cj, karena menjadi ?jk ? (j - 1) k). Determinan akan dihitung sebagai produk nilai eigen
ini.
Biarkan
menjadi
matriks
yang
diperoleh
dengan
bergabung
dalam
matriks 
identitas
IDN  A. Kemudian
yang  perlu  dan  syarat
cukup
untuk
matriks
A
menjadi
MDS
adalah
bahwa
setiap
kemungkinan
n
×
n
submatrix
m
diperoleh
dengan
menghapus  baris  dari  A 
adalah  non-singular.  Kode 
Reed-Solomon  MDS 
memiliki
Word to PDF Converter | Word to HTML Converter