Home Start Back Next End
  
58
tupel
(x,
f
(x))
adalah
sebuah
kode
MDS,
yaitu
kode
yang
linear
mencapai
Singleton
terikat.
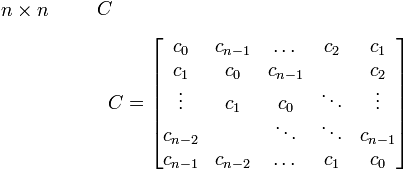
Sebuah
matrix
dari form :
Sebuah 
matriks  circulant
sepenuhnya  ditentukan  oleh 
satu 
vektor,  c, 
yang
muncul sebagai kolom pertama dari  C. kolom
yang tersisa dari C adalah masing-masing
siklus permutasi dari
vektor 
c
dengan offset
sama dengan
indeks kolom. Baris terakhir
dari 
C
adalah
vektor
c
dalam
urutan
terbalik,
dan
sisanya
masing-masing
baris
siklik
permutasi dari
baris
terakhir.
Perlu
diketahui
bahwa
sumber
yang
berbeda
menentukan
matriks
circulant
dengan
berbagai
cara,
misalnya
dengan
koefisien yang
sesuai
dengan
baris
pertama
daripada
kolom
pertama
dari
matriks,
atau
dengan
pergeseran arah
yang
berbeda.
Himpunan n
n
circulant
bentuk
matriks
n
dimensi ruang
vektor
ini
dapat
diinterpretasikan
sebagai
ruang
fungsi
pada
cyclic
group
dari
urutan
n,  
Z
/
nZ,
atau
ekuivalen yang group ring.
Matriks 
circulant 
membentuk 
aljabar 
komutatif, 
karena 
untuk 
setiap 
dua
circulant
diberikan matriks
A
dan
B,
jumlah
A
+
B
circulant,
produk
AB
adalah
circulant, dan AB = BA.
Word to PDF Converter | Word to HTML Converter