Home Start Back Next End
  
37
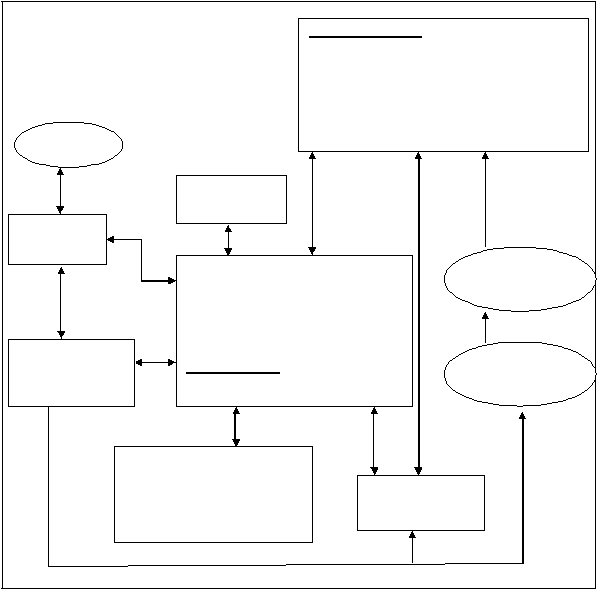
Struktur Sistem pakar.
Use r
Ba sis Pengeta hua n
Fa kta :
Apa  yang
diketa hui  tenta ng
area domain.
Atura n:
logical reference
Anta rmuka
Fa silitas
penjelas an
Aks i ya ng
diredikomendas 
i
Mo tor inferensi
Interpreter
Scheduler
Consistency
Enforcer
Re ka yasa pe
nge tah uan
Pen ge tahua n
ahli
BLACKBOARD
Renca na
Agenda
Solus 
i
Des krips 
i
Penya ring
pengetahua n
Gambar 2.6 Struktur Sistem Pakar ( Sri Kusumadewi, 2003)
Komp onen-komp onen y ang ada p ada sistem p akar adalah :
Subsistem  p enambahan  p engetahuan. 
Bagian 
ini  digunak an 
untuk
memasukkan
p
en getahuan,
men gkonstruksi
atau
memp erluas
Word to PDF Converter | Word to HTML Converter