Start Back Next End
  
sejenis
22
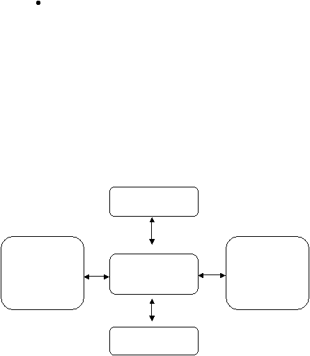
Kekuatan tawar-menawar pembeli
Ketika konsumen membeli dalam jumlah yang besar maka
kekuatan tawar-menawar mereka menjadi kekuatan utama yang
memengaruhi intensitas persaingan suatu industri. Oleh karena
itulah dalam menyusun sebuah strategi juga perlu menganalisis
kekuatan tawar-menawar konsumen.
Gambar 2.2. Peta Kekuatan M.Porter
Sumber: David, Fred 2009(p, 324)
2.4.1.3. Analisis Matriks CPM
Matriks Profil Kompetitif mencakup baik isu –
isu internal maupun eksternal
karenanya peringkat mengacu kepada kekuatan dan kelemahan. Dimana 4 = Sangat
Kuat, 3 = Kuat, 2 = Lemah dan 1 = Sangat Lemah.  Faktor –
faktor keberhasilan
penting dalam matriks ini lebih luas karena tidak mencakup data spesifik atau faktual
dan mungkin bahkan berfokus pada isu internal. Peringkat dan skor bobot total
perusahaan pesaing dapat dibandingkan dengan perusahaan sampel.
Produk substitusi
Persaingan antar
perusahaan
Pesaing baru
Kekuatan
tawar –
menawar
pembeli
Kekuatan
tawar -
menawar
pemasok
Word to PDF Converter | Word to HTML Converter