Home Start Back Next End
  
C
O
N
S
U
M
E
R
S
Wholesaler
(Pasar Pisang
Cengkareng)
Street vendor
Independe
nt high
quality
bayer
Processing (price
sensitive buyers)
Chain Store
supplier
PEDAGANG PENGUMPUL BESAR
Pedagang pengumpul kecil
Pencari
Pencari
PETANI
PETANI
PETANI
PETANI
PETANI
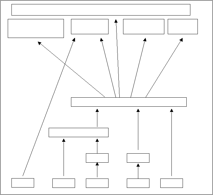
Gambar 2.6. Aliran Aktivitas
Sumber : Direktorat Tanaman Buah. Ditjen. BPH. Deptan.
-
Pedagang
pengumpul
besar
:
melakukan
pembersihan,
sortasi,
pemeraman, grading, pengemasan dan pengiriman / pengangkutan.
-
Pasar
Induk
:
melakukan
pemeraman,
sortasi,
grading,
pengemasan
ulang dan perdagangan / penjualan.
Word to PDF Converter | Word to HTML Converter