Home Start Back Next End
  
113
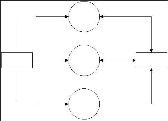
pswt_baru
1.1 *
Tambah
Pesawat
Komersil
pswt_ubah
1.2 *
Ubah
Pesawat
Pesawat
pswt_hapus
1.3 *
Hapus
Pesawat
Gambar 5.3 Diagram Rinci 1.0 (Level 2)
Word to PDF Converter | Word to HTML Converter