Home Start Back Next End
  
114
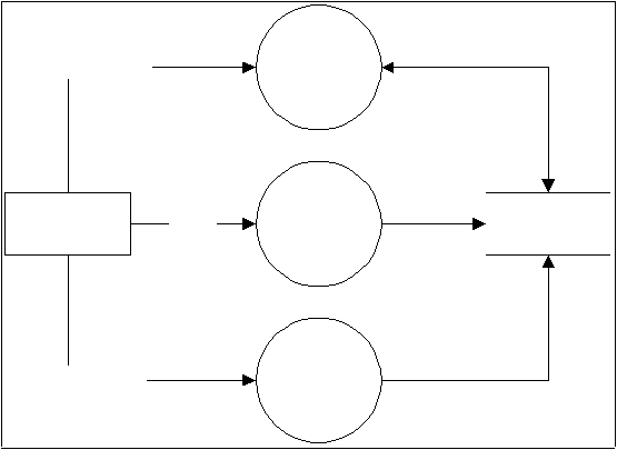
rute_tambah
2.1 *
Tambah Rute
Komersil
block
2.2 * Ubah
Block Time
Rute
rute_hapus
2.3 *
Hapus Rute
Gambar 5.4 Diagram Rinci 2.0 (Level 2)
Word to PDF Converter | Word to HTML Converter