Start Back Next End
  
12
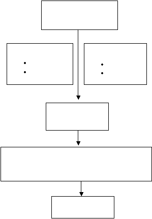
2.2.2. Proses Manajemen Strategi
Proses manajemen strategi
adalah proses enam langkah yang memandu
perencanaan, implementasi dan evaluasi strategi. Walaupun empat langkah yang
pertama menjelaskan perencanaan yang harus dilakukan, implementasi dan evaluasi
juga sama pentingnya. Bahkan strategi terbaik pun dapat saja gagal bila manajemen
tidak mengimplementasikan atau mengevaluasinya secara layak (Robbins, S. P. dan
Coulter, Mary, 2003:214).
Gambar 2.1. Proses Manajemen Strategi
Sumber: Robbins, S. P. dan Coulter, Mary (2003:214)
Langkah 1: Mengidentifikasi Misi dan Visi
Setiap organisasi membutuhkan misi-
sebuah pernyataan tentang tujuannya.
Mengidentifikasi sebuah misi akan memaksa manajer untuk
mengindentifikasi apa yang harus dilakukan organisasi dalam menjalankan
Visi dan Misi
Perusahaan
Analisis Eksternal
Peluang
Ancaman
Analisis Internal
Kekuatan
Kelemahan
Formulasi dan
Memilih Strategi
Mengevaluasi
Hasil
Implementasi Strategi
Input Stage
Match Stage
Decision Stage
Word to PDF Converter | Word to HTML Converter