Start Back Next End
  
23
Kebanyakan dari sistem rule-based
mempunyai
lebih dari satu aturan. Proses
pengambilan
keseluruhan
keputusan
dari
setiap
aturan
dalam
rule-base
disebut
dengan
agregasi.
Ada
dua
macam
tipe
agregasi
yaitu:
1.
Conjunctive
system
of
rules:
pada
sistem
yang
mengadopsi
tipe
ini,
setiap
rule
yang
ada
dihubungkan
dengan
operator
and”.
Hasil
output
yang
di
agregasi
diperoleh
dengan
metode
irisan
(intersection)
dari
setiap
aturan
yang
berhubungan
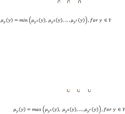
menjadi:
2. Disjunctive system of rules: pada sistem yang mengadopsi  tipe ini ,  setiap
rule
dihubungkan
dengan
operator
or”.
Dalam
hal
ini,
output
yang
diagregasi
diperoleh
dengan
metode
penggabungan
(union)
dari
setiap
rule
yang
ada
menjadi:
2.1.3.5.2 Teknik Inferensi Mamdani
y
=
y¹ and y² andand y®
dimana i = 1,2, … r
atau
y
=
y¹
y²
y®,
yang didefinisikan dengan fungsi keanggotaan menjadi:
y
=
y¹ or y² oror y®
atau
y
=
y¹
y²
y®,
yang didefinisikan dengan fungsi keanggotaan menjadi :
Word to PDF Converter | Word to HTML Converter