Start Back Next End
  
1
dan nilai matriks diperoleh dengan cara random. Kemudian nilai
keangotaan terletak pada interval 0 -
1. Posisi awal matriks
partisi U dan juga pusat cluster-nya belum akurat. Oleh karena itu
kecendrungan data untuk masuk kedalam suatu cluster juga belum
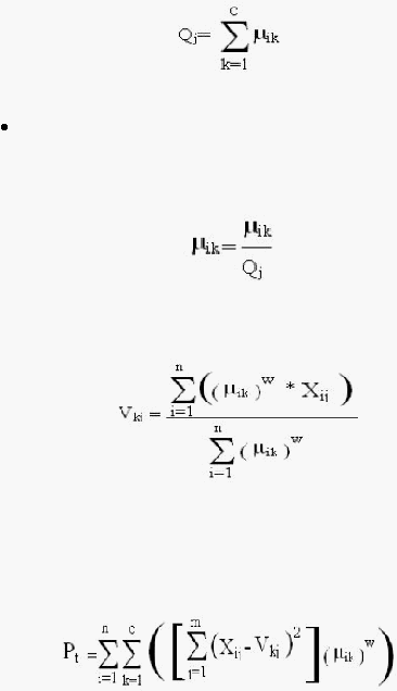
akurat. Kemudian hitung jumlah setiap kolom (atribut).
Dimana:
Qj adalah jumlah nilai derajat keanggotaan perkolom = 1,
dimana j=1,2,…m
Kemudian hitung,
4.
Hitung dari pusat Cluster
ke-k: Vkj ,dimana nilai  k =
1,2,…c; j = 1,2,…m.
5.
Hitung dari fungsi obyektif pada iterasi ke-t, Pt. Fungsi
tersebut
sebagai syarat perulangan untuk mendapatkan pusat
cluster yang tepat. 
Word to PDF Converter | Word to HTML Converter