Start Back Next End
  
1
6.
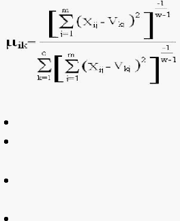
Hitung perubahan dari matriks partisi:
Dimana:
i=1,2,…n.
k=1,2,..c.
7.
Kemudian cek kondisi berhenti, dengan cara:
Jika
:
( |
Pt -
Pt-1 |
< ) atau (
t
>
maxIter
) maka
berhenti.
Jika tidak: t = t + 1, ulangi langkah ke-4.
2.1.4
Artificial Neural Network (ANN)
Otak adalah salah bagian terpenting dalam tubuh manusia. Otak manusia
terdiri dari jutaan neuron yang saling berhubungan satu sama lain yang bertujuan
untuk mengantarkan impuls. Sistem yang bekerja pada otak manusia dinilai
sangat kompleks dan non-linear sehingga mendasari dibentuknya jaringan syaraf
buatan atau artificial neural network
(Haykin, 1999, h23). Sekelompok unit
pemroses kecil
dirangkai menjadi jaringan yang menyerupai neuron dalam otak
manusia. ANN memiliki sifat
adaptif yang dapat mengubah strukturnya untuk
memecahkan masalah berdasarkan informasi yang mengalir melalui jaringan
tersebut. 
2.1.4.1 Model Neuron
2.1.4.1.1
Single Input Neuron
Single input
neuron hanya memiliki
satu
input
(p)
kemuduan input
skalar (p) dikalikan dengan weight (w)
untuk
menghasilkan wp
dan
ditambahkan dengan
bobot bias
(b) untuk
menghasilkan output
(n) yang sering pula disebut
dengan net
Word to PDF Converter | Word to HTML Converter