Start Back Next End
  
3
b.
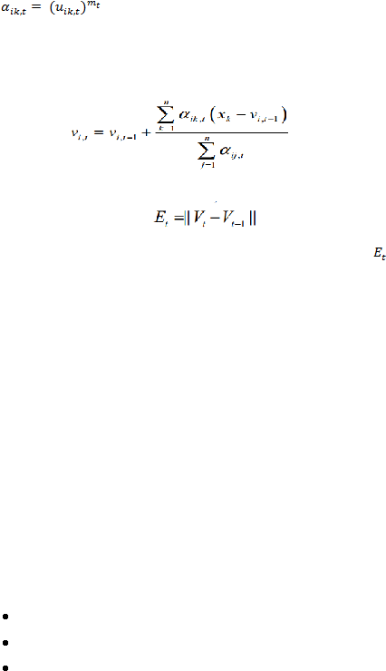
Update seluruh bobot vektor dengan menggunakan persamaan
c.
Lakukan perhitungan perhitungan 
d.
Jika error yang diperoleh lebih kecil daripada yang ditetapkan (
< ?),
proses berhenti. Jika tidak, ulangi kembali langkah (3).
2.1.7 
Kerusakan Bangunan Akibat Gempa Bumi
Bangunan  rumah dan gedung memiliki 2 komponen, yaitu struktur dan
non-struktur. Struktur itu sendiri seperti struktur pondasi, struktur kolam,
sedangkan non-struktur itu sendiri seperti plesteran dinding bata, plesteran
dinding. Kerusakan bangunan akibat gempa bumi diklasifikasikan sesuai dengan
kriteria kerusakannya, yaitu:
a.
Kerusakan Ringan Non-Struktur
Bangunan dikategorikan memiliki kerusakan ringan non-struktur apabila
mengalami hal berikut:
Terdapat retak halus pada plesteran.
Serpihan pada plesteran berjatuhan.
Gejala mencakup luas yang tidak begitu besar
b.
Kerusakan Struktur Ringan
Word to PDF Converter | Word to HTML Converter