Home Start Back Next End
  
l
44
kehilangan   usaha 
dimasa   depan   serta 
kehilangan   pangsa  
pasar 
(market
share).
2.4  
Pendekatan
Kuadrat Ted{edl
Pada 
setiap 
eksperimen   seialu 
diiakukan 
ana!isa 
terhadap  
basil 
eks;:>erimen
tersebut
dan
salah
satu caranya
adalah
dengan
memplot
semua
data
yang
ada
sehingga
diperoleh 
sebuah
kurva.
Dan
kurva
ini
dapat
diterjemahkan 
ke
dalam
model
matematis
yar!g
dapat
mewaki!i
seluruh
data
dengan
tepat,
berhubung
adanya
ketidakteraturan
data.
Sehingga
timbul  pertanyaan,
bagaimana 
memperoleh  kurva
yang
paling
tepat 
mewakili
semua
data.
Misalkan
kita
memperoleh
hubungan
x
dan
y
sebagai
berikut
:
y
=
f(x)
dengan  coret  di
atas  y  menyatakan 
harga  pendekatan  y.  
Harga 
y
sebenarnya 
adalah
harga
yang
diperoleh 
dari
eksperimen.   
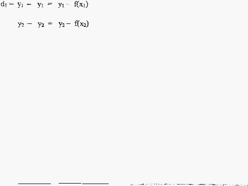
l\.1isalkan ada
m
data 
yaitu
x,, 
x2,... ,Xm yang
masing-masing  
berkaitan 
dengan   harga 
y;, 
y2,...,ym, 
Maka 
akan 
terdapat   m
simpangan
(deviasi),
yaitu
·
c"'
=
Ym 
-
Ym =
Ym- fCxm)
hal ini
dapat
disederhanakan  dengan :
d!
=
ly·
1'
'  
l
Word to PDF Converter | Word to HTML Converter